Přednášky        Zadání teoretických otázek a úkolů       Řešení teoretických otázek a úkolů       Vzorové řešené příklady            Příklady na procvičení

 

 

 

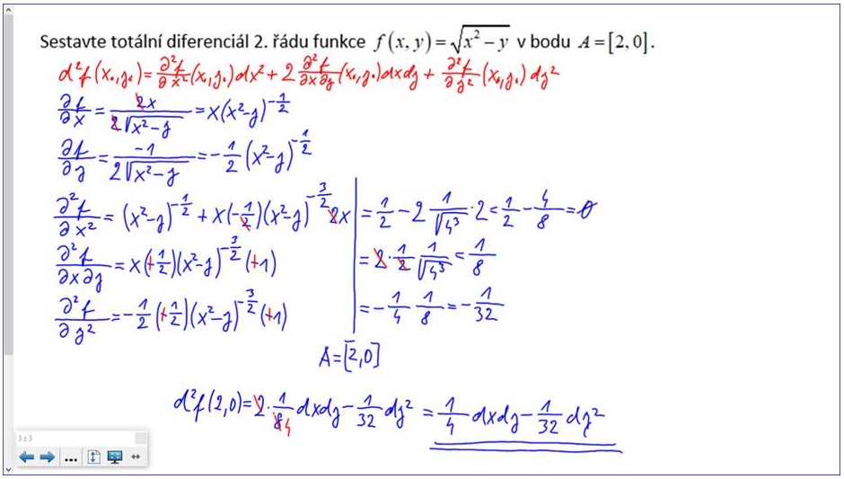
2.10   Totální diferenciály vyšších řádů

 

 

 

Obsah obrázku text, rukopis, Písmo, snímek obrazovky

Popis byl vytvořen automaticky

 

 

Obsah obrázku text, rukopis, Písmo

Obsah vygenerovaný umělou inteligencí může být nesprávný.